Modern Stochastics: Theory and Applications logo


  • Help
Login Register

  1. Home
  2. Issues
  3. Volume 12, Issue 1 (2025)
  4. A test on the location of tangency portf ...

Modern Stochastics: Theory and Applications

Submit your article Information Become a Peer-reviewer
  • Article info
  • Full article
  • Related articles
  • Cited by
  • More
    Article info Full article Related articles Cited by

A test on the location of tangency portfolio for small sample size and singular covariance matrix
Volume 12, Issue 1 (2025), pp. 43–59
Svitlana Drin   Stepan Mazur   Stanislas Muhinyuza ORCID icon link to view author Stanislas Muhinyuza details  

Authors

 
Placeholder
https://doi.org/10.15559/24-VMSTA261
Pub. online: 11 July 2024      Type: Research Article      Open accessOpen Access

Received
20 February 2024
Revised
20 June 2024
Accepted
21 June 2024
Published
11 July 2024

Abstract

The test for the location of the tangency portfolio on the set of feasible portfolios is proposed when both the population and the sample covariance matrices of asset returns are singular. The particular case of investigation is when the number of observations, n, is smaller than the number of assets, k, in the portfolio, and the asset returns are i.i.d. normally distributed with singular covariance matrix Σ such that $rank(\boldsymbol{\Sigma })=r\lt n\lt k+1$. The exact distribution of the test statistic is derived under both the null and alternative hypotheses. Furthermore, the high-dimensional asymptotic distribution of that test statistic is established when both the rank of the population covariance matrix and the sample size increase to infinity so that $r/n\to c\in (0,1)$. Theoretical findings are completed by comparing the high-dimensional asymptotic test with an exact finite sample test in the numerical study. A good performance of the obtained results is documented. To get a better understanding of the developed theory, an empirical study with data on the returns on the stocks included in the S&P 500 index is provided.

1 Introduction

Modern portfolio theory, introduced by Harry Max Markowitz in [28], marked an early milestone in the formalization of the asset allocation decision-making process. Over the following decades, researchers have continued to advance this theory, enhancing methods for portfolio assessment and management. The extensive body of literature on modern portfolio theory has extensively investigated the ramifications of estimation uncertainty in a general context. Notable studies include the works [2, 20, 22, 25, 27, 35], among many others. Research on the topic of the tangency portfolio (TP) can be traced back to the late 1970s, with contributions from [18, 24, 44] conducting Bayesian analyses of the TP. Approximations for the mean and variance of the estimated TP weights were provided in [17], while a statistical test for these weights was derived in [10]. This line of research was also developed in [35] by deriving the asymptotic distribution for portfolio weights. Subsequently, [21] characterized the moments of TP weights assuming normally distributed returns and [5] developed statistical tests for the composite hypothesis of TP weights. The sampling distributions from the perspective of the mean squared error loss function were investigated in [37], while [3] used a Bayesian approach to investigate the properties of the TP weights. Let us note that, in the Bayesian setting, the posterior distribution of the TP weights is proportional to the product of a (singular) Wishart matrix and a (singular) Gaussian vector. The statistical properties of these products in various scenarios have also been investigated (see, for example, [45] and references therein). A statistical test of the TP efficiency in small and large dimensions was derived in [31, 32], while [23] provided the high-dimensional asymptotic distribution of the estimated TP weights and developed an asymptotic test for linear combinations of the TP elements. More recently, [16, 19] studied the distributional properties of the estimated TP weights assuming that the asset returns follow non-Gaussian distributions.
The above-mentioned papers focus on the case when the number of assets, n, is greater than the portfolio size, k, and the population covariance matrix, Σ, is positive definite. In this setting, the sample covariance matrix is nonsingular. However, one can face cases when the population and/or sample covariance matrices are singular. The case of a singular population covariance matrix can arise due to multicollinearity and correlations of asset returns. Another source of singularity can arise in situations where the sample size is smaller than the portfolio size, i.e. $n\lt k+1$. These sources of singularity in the portfolio context are of interest in the present paper and have recently received considerable attention in the academic literature, leading to the development of various methods. For example, [14, 26, 38] proposed the mathematical solutions to the mean-variance portfolio problem with a singular population covariance matrix, while [4, 6, 7] provided statistical analysis of the mean-variance portfolio weights as well as portfolio compositions under both singular population and sample covariance matrices. For the TP weights, [8] delivered statistical inference in small and large dimensions by considering scenarios when both the population and sample covariance matrices are singular. Lastly, [1] investigated the mean and variance of the TP weights in the case of positive definite population covariance matrix and singular sample covariance matrix.
Let’s now discuss closely the setting with two sources of singularity. Let ${\mathbf{x}_{t}}$, $t=1,\dots ,n$, be k-dimensional vectors of asset returns which are independently and identically distributed (i.i.d.) with mean vector $\boldsymbol{\mu }$ and covariance matrix Σ. Assuming that Σ is singular with $rank(\boldsymbol{\Sigma })=r\lt n\lt k+1$ means that $k-r$ variables can be obtained by a linear combination of the remaining r variables, leading to observations ${\tilde{\mathbf{x}}_{t}}\in {\mathbb{R}^{r}}$ of reduced dimension. Since the coefficients of this linear combination are nonrandom, this reduces to the problem of observing the r-dimensional vector. Hence, both sources of singularity disappear. In particular, the singularity source from the population covariance matrix Σ disappears since ${\tilde{\mathbf{x}}_{t}}\in {\mathbb{R}^{r}}$ have a nonsingular population covariance matrix. Moreover, the singularity source from the assumption that $n\lt k+1$ is not valid either, since after the transformation the dimension of the observed vector of asset returns is $r\lt n$. Therefore, based on the mathematical framework, it seems that the results of the present paper lack practical implications. However, this reasoning can be misleading since in any practical context, data is inevitably subject to distortion caused by random noise arising from measurement error, computational inaccuracies, negligible and uninteresting dependencies in the data, and so on. In other words, a pure case of singularity resulting from data dependencies is unlikely to be observed. Let’s note that the case when the rank exceeds the sample size, i.e. $n\le r\lt k+1$, remains open and needs to be treated separately. This is mainly due to the lack of properties of singular Wishart distribution [7, 11, 41] in this setting that can help us understand the distributional properties of the estimated portfolio weights.
Thus, the present paper assumes that the asset returns ${\mathbf{x}_{1}},\dots ,{\mathbf{x}_{n}}$ are i.i.d. and follow a multivariate normal distribution with mean vector $\boldsymbol{\mu }$ and covariance matrix Σ such that $rank(\boldsymbol{\Sigma })=r\lt n\lt k+1$. In this setting, we contribute to the existing literature in the following way. First, we deliver the extension of the test on the existence of the TP on the set of feasible portfolios and provide its distribution under both null and alternative hypotheses. Second, we give a simple and accurate approximation of the obtained results in the high-dimensional setting. To show the use of the developed theory, we provide an empirical study with data on the returns on the stocks included in the S&P 500 index. Let’s note that in this study we estimate the actual rank of the population covariance matrix Σ following the approach proposed by [33] which is also used in the portfolio context by [8].
The rest of the paper is organized as follows. In Section 2, we establish the test statistic and its exact distribution under both null and alternative hypotheses. Section 3 focuses on the asymptotic distribution of the test statistic in the high-dimensional asymptotic regime. Section 4 provides the results of the numerical study, while Section 5 presents the empirical study. Finally, Section 6 gives concluding remarks.

2 Exact test

Let ${\mathbf{x}_{t}}={({x_{1t}},\dots ,{x_{kt}})^{\prime }}$ be a k-dimensional vector of returns of the risky assets at time point $t=1,\dots ,n$. Throughout the paper, it is assumed that ${\mathbf{x}_{1}},\dots ,{\mathbf{x}_{n}}$ are independent and identically normally distributed with mean vector $\boldsymbol{\mu }$ and covariance matrix Σ. Additionally, it is assumed that Σ is singular with $rank(\boldsymbol{\Sigma })=r\lt n\lt k+1$. Let’s note that the assumption of normality is a common assumption in the financial literature and is found to be reasonable in the portfolio context (see, for example, [12, 42]). Furthermore, let $\mathbf{w}={({w_{1}},\dots ,{w_{k}})^{\prime }}$ be a k-dimensional vector of portfolio weights, where ${w_{i}}$ is the portion of the wealth allocated to the i-th asset. The expected return and variance of the portfolio are denoted by $R={\mathbf{w}^{\prime }}\boldsymbol{\mu }$ and $V={\mathbf{w}^{\prime }}\boldsymbol{\Sigma }\mathbf{w}$, respectively.
The optimal portfolios as proposed by Markowitz’s theory lie on the upper part of the parabola in the mean-variance space. This parabola is known as the efficient frontier (EF) and, if Σ is positive definite, is given by
(1)
\[ {(R-{R_{GMV}})^{2}}=s(V-{V_{GMV}})\]
where
(2)
\[ {R_{GMV}}=\frac{{\mathbf{1}^{\prime }_{k}}{\boldsymbol{\Sigma }^{-1}}\boldsymbol{\mu }}{{\mathbf{1}^{\prime }_{k}}{\boldsymbol{\Sigma }^{-1}}{\mathbf{1}_{k}}}\hspace{1em}\text{and}\hspace{1em}{V_{GMV}}=\frac{1}{{\mathbf{1}^{\prime }_{k}}{\boldsymbol{\Sigma }^{-1}}{\mathbf{1}_{k}}}\]
are the expected return and variance of the portfolio with the smallest variance among the efficient portfolios, which is called the global minimum variance portfolio (GMVP). Here, the symbol ${\mathbf{1}_{k}}$ stands for the k-dimensional vector of ones. The parameter
(3)
\[ s={\boldsymbol{\mu }^{\prime }}\mathbf{R}\boldsymbol{\mu }\hspace{1em}\text{with}\hspace{1em}\mathbf{R}={\boldsymbol{\Sigma }^{-1}}-\frac{{\boldsymbol{\Sigma }^{-1}}{\mathbf{1}_{k}}{\mathbf{1}^{\prime }_{k}}{\boldsymbol{\Sigma }^{-1}}}{{\mathbf{1}^{\prime }_{k}}{\boldsymbol{\Sigma }^{-1}}{\mathbf{1}_{k}}}\]
stands for the slope coefficient of the parabola.
On the other hand, if Σ is singular, the EF is constructed by replacing the inverse with the Moore–Penrose inverse. Then the EF parameters become
(4)
\[ {R_{GMV}}=\frac{{\mathbf{1}^{\prime }_{k}}{\boldsymbol{\Sigma }^{+}}\boldsymbol{\mu }}{{\mathbf{1}^{\prime }_{k}}{\boldsymbol{\Sigma }^{+}}{\mathbf{1}_{k}}},\hspace{2em}{V_{GMV}}=\frac{1}{{\mathbf{1}^{\prime }_{k}}{\boldsymbol{\Sigma }^{+}}{\mathbf{1}_{k}}},\hspace{2em}s={\boldsymbol{\mu }^{\prime }}\mathbf{R}\boldsymbol{\mu }\]
with $\mathbf{R}={\boldsymbol{\Sigma }^{+}}-\frac{{\boldsymbol{\Sigma }^{+}}{\mathbf{1}_{k}}{\mathbf{1}^{\prime }_{k}}{\boldsymbol{\Sigma }^{+}}}{{\mathbf{1}^{\prime }_{k}}{\boldsymbol{\Sigma }^{+}}{\mathbf{1}_{k}}}$. Let us note that a number of papers have applied the Moore–Penrose inverse in the portfolio theory, see, for example, [6–8, 38]. We notice that the relations in (4) can only be used under the condition that ${\mathbf{1}^{\prime }_{k}}{\boldsymbol{\Sigma }^{+}}{\mathbf{1}_{k}}\ne 0$, which is assumed throughout the paper. This condition is only trivially encountered in applications and doesn’t have any specific economic interpretation. However, it is important to know whether this condition holds before proceeding with the analysis. For discussion about this point, we refer to Remark 3 in [4].
If there is a possibility to invest in a risk-free asset, one may choose to put a portion of his/her investment into a risk-free asset, henceforth, the efficient frontier becomes a straight line in the mean-variance space passing through the return of the risk-free asset and tangent to the parabola in (1). This tangent point is also known as the tangency portfolio (TP), see, for example, [15, 30]. Here, we note that the structure of the TP weights is similar to the structure of the linear discriminant function [5, 13, 40]. The optimality/efficiency of the TP depends crucially on the relation between the return of the GMVP, ${R_{GMV}}$, and the return of the risk-free asset, ${r_{f}}$, as can be seen in Figure 1. The mean-variance efficiency of TP is then observed when the GMVP return is greater than the return of the risk-free asset, i.e. ${R_{GMV}}\gt {r_{f}}$. This can be formulated as a statistical test with the hypotheses expressed as
(5)
\[ {H_{0}}:{R_{GMV}}\le {r_{f}}\hspace{2.5pt}\text{against}\hspace{2.5pt}{H_{1}}:{R_{GMV}}\gt {r_{f}}.\]
vmsta261_g001.jpg
Fig. 1.
Location of the tangency portfolio on the set of feasible portfolios in the two cases: (a) ${R_{GMV}}\ge {r_{f}}$ and (b) ${R_{GMV}}\lt {r_{f}}$
The rejection of the null hypothesis suggests that the TP lies on the upper part of the efficient frontier as shown in Figure 1(a). On the other hand, if the null hypothesis in (5) cannot be rejected as in Figure 1(b), then the investor cannot be certain of the optimality of the TP, and allocation into the risk-free asset could be considered as a suitable alternative.
Assuming positive definiteness of the population covariance matrix, Σ, [31, 32] constructed the test statistic for testing the hypotheses in (5) and derived its distribution for both finite and high-dimensional settings (i.e. $n\gt k+1$).We extend those results for testing (5) in case of $n\lt k+1$ and singular Σ with $rank(\boldsymbol{\Sigma })=r\lt n$ by considering the test statistic
(6)
\[ T=\sqrt{\frac{n-r}{n-1}}\frac{{\widehat{R}_{GMV}}-{r_{f}}}{\sqrt{1+\frac{n}{n-1}\widehat{s}}\sqrt{\frac{{\widehat{V}_{GMV}}}{n}}},\]
where
(7)
\[ {\widehat{R}_{GMV}}=\frac{{\mathbf{1}^{\prime }_{k}}{\mathbf{S}^{+}}\overline{\mathbf{x}}}{{\mathbf{1}^{\prime }_{k}}{\mathbf{S}^{+}}{\mathbf{1}_{k}}},\hspace{2em}{\widehat{V}_{GMV}}=\frac{1}{{\mathbf{1}^{\prime }_{k}}{\mathbf{S}^{+}}{\mathbf{1}_{k}}},\hspace{2em}\widehat{s}={\overline{\mathbf{x}}^{\prime }}\widehat{\mathbf{R}}\overline{\mathbf{x}}\]
are the sample estimators of ${R_{GMV}}$, ${V_{GMV}}$ and s, with $\widehat{\mathbf{R}}={\mathbf{S}^{+}}-\frac{{\mathbf{S}^{+}}{\mathbf{1}_{k}}{\mathbf{1}^{\prime }_{k}}{\mathbf{S}^{+}}}{{\mathbf{1}^{\prime }_{k}}{\mathbf{S}^{+}}{\mathbf{1}_{k}}}$, while
\[ \overline{\mathbf{x}}=\frac{1}{n}{\sum \limits_{i=1}^{n}}{\mathbf{x}_{i}}\hspace{1em}\text{and}\hspace{1em}\mathbf{S}=\frac{1}{n-1}{\sum \limits_{i=1}^{n}}({\mathbf{x}_{i}}-\overline{\mathbf{x}}){({\mathbf{x}_{i}}-\overline{\mathbf{x}})^{\prime }}\]
are the sample estimators of $\boldsymbol{\mu }$ and Σ, respectively.
The following theorem provides distribution of T under both the null and alternative hypotheses. Note that f subindexed by a distribution stands for the density of that distribution.
Theorem 1.
Let ${\mathbf{x}_{1}},\dots ,{\mathbf{x}_{n}}$ be i.i.d random vectors with ${\mathbf{x}_{1}}\sim {\mathcal{N}_{k}}(\boldsymbol{\mu },\boldsymbol{\Sigma }),k\gt n-1$ and $rank(\boldsymbol{\Sigma })=r\lt n$. Then the density of T is given by
(8)
\[ {f_{T}}(x)=\frac{n(n-r+1)}{(r-1)(n-1)}{\int _{0}^{\infty }}{f_{{t_{n-r,\delta (y)}}}}(x){f_{{\mathcal{F}_{r-1,n-r+1}},ns}}\left(\frac{n(n-r+1)}{(r-1)(n-1)}y\right)dy\]
where $\delta (y)=\sqrt{\frac{n}{1+n/(n-1)y}}{S_{GMV}}$ with ${S_{GMV}}=\frac{{R_{GMV}}-{r_{f}}}{\sqrt{{V_{GMV}}}}$ which is the Sharpe ratio of the GMVP.
Proof.
The density function of the test statistic T in (6) is obtained by utilizing the distributional properties of essential quantities ${\widehat{R}_{GMV}},{\widehat{V}_{GMV}}$ and $\widehat{s}$ as presented in [6]. In particular, we make use of the following properties:
  • (P1) ${\widehat{R}_{GMV}}|\widehat{s}\sim \mathcal{N}\left({R_{GMV}},(1+\frac{n}{n-1}\widehat{s})\frac{{V_{GMV}}}{n}\right)$ ;
  • (P2) $\frac{n(n-r+1)}{(n-1)(r-1)}\widehat{s}\sim {\mathcal{F}_{r-1,n-r+1,ns}}$;
  • (P3) $(n-1){\widehat{V}_{GMV}}/{V_{GMV}}\sim {\chi _{n-r}^{2}}$;
  • (P4) ${\widehat{V}_{GMV}}$ is independent of $({\widehat{R}_{GMV}},\widehat{s})$.
Now, adding and subtracting ${R_{GMV}}$ on the numerator and dividing both the numerator and denominator by $\sqrt{{V_{GMV}}}$ of the test statistic in (6), and rearranging it, we get
\[ T=\left(\frac{{\widehat{R}_{GMV}}-{R_{GMV}}}{\sqrt{1+\frac{n}{n-1}\widehat{s}}\sqrt{\frac{{V_{GMV}}}{n}}}+\frac{{R_{GMV}}-{r_{f}}}{\sqrt{1+\frac{n}{n-1}\widehat{s}}\sqrt{\frac{{V_{GMV}}}{n}}}\right)\frac{1}{\sqrt{\frac{n-1}{n-r}\frac{{\widehat{V}_{GMV}}}{{V_{GMV}}}}}.\]
Applying properties (P1), (P3) and (P4) and using the definition of noncentral t-distribution, we obtain that
\[ T|\widehat{s}=y\sim {t_{n-r,\delta (y)}}\hspace{1em}\text{with}\hspace{1em}\delta (y)=\frac{{R_{GMV}}-{r_{f}}}{\sqrt{1+\frac{n}{n-1}y}\sqrt{\frac{{V_{GMV}}}{n}}}.\]
Applying property (P2) and computing the unconditional distribution of T, we arrive at the statement of Theorem 1.  □
In Theorem 1, we can observe that the density function of the test statistic T is expressed as a one-dimensional integral of the product of two well-known univariate density functions. This formula can be easily computed in many statistical/mathematical software such as, for example, R and Mathematica. From the proof of Theorem 1, it can be also seen that the test statistic T may be represented as a mixture of a noncentral t-distribution with $n-r$ degrees of freedom and a noncentrality parameter $\delta (y)$. Now, having the density function of T, we can derive the critical value for the test (5) at significance level α. This result is provided in the next theorem.
Theorem 2.
Under the conditions of Theorem 1, it holds that
\[ \underset{{V_{GMV}}\gt 0,s\ge 0,{R_{GMV}}\le {r_{f}}}{\sup }{G_{T,\alpha ,{t_{n-r;1-\alpha }}}}\left({S_{GMV}},s\right)\le {\mathbb{P}_{{H_{0}}:{R_{GMV}}={r_{f}}}}\left(T\gt {t_{n-r;1-\alpha }}\right)=\alpha ,\]
where
\[ {G_{T,\alpha ,c}}\left({S_{GMV}},s\right)=\mathbb{P}\left(T\gt c\right)={\int _{c}^{\infty }}{f_{T}}(x)dx\]
and the symbol ${t_{n-r;1-\alpha }}$ stands for the $(1-\alpha )$ quantile of the t-distribution with $n-r$ degrees of freedom.
Proof.
Using Theorem 1, for a given constant c, we have that
(9)
\[\begin{aligned}{}& {G_{T,\alpha ,c}}\left({S_{GMV}},s\right)=\\ {} & =\frac{n(n-r+1)}{(r-1)(n-1)}{\int _{c}^{\infty }}{\int _{0}^{\infty }}{f_{{t_{n-r,\delta (y)}}}}(x){f_{{\mathcal{F}_{r-1,n-r+1}},ns}}\left(\frac{n(n-r+1)}{(r-1)(n-1)}y\right)dydx\\ {} & =\frac{n(n-r+1)}{(r-1)(n-1)}{\int _{0}^{\infty }}\left(1-{F_{{t_{n-r,\delta (y)}}}}(c)\right){f_{{\mathcal{F}_{r-1,n-r+1}},ns}}\left(\frac{n(n-r+1)}{(r-1)(n-1)}y\right)dy,\end{aligned}\]
where ${F_{{t_{n-r,\delta (y)}}}}(\cdot )$ stands for the cumulative distribution function of the noncentral t-distribution with $n-r$ degrees of freedom and a noncentrality parameter $\delta (y)$. Since $1-{F_{{t_{n-r,\delta (y)}}}}(c)\le 1-{F_{{t_{n-r,0}}}}(c)$ for all $y\ge 0$ and ${R_{GMV}}\lt {r_{f}}$, we obtain that
(10)
\[\begin{aligned}{}& {G_{T,\alpha ,c}}\left({S_{GMV}},s\right)\\ {} & \le \frac{n(n-r+1)}{(r-1)(n-1)}{\int _{0}^{\infty }}\left(1-{F_{{t_{n-r,0}}}}(c)\right){f_{{\mathcal{F}_{r-1,n-r+1}},ns}}\left(\frac{n(n-r+1)}{(r-1)(n-1)}y\right)dy\\ {} & =1-{F_{{t_{n-r}},0}}(c)=\alpha \end{aligned}\]
with $c={t_{n-r;1-\alpha }}$. The proof of the theorem is completed.  □
Theorem 2 delivers us the message that the test of (5) rejects ${H_{0}}$ in favor of ${H_{1}}$ as $T\ge {t_{n-r;1-\alpha }}$. We can also see that the power of the test based on the test statistic T is given by
\[\begin{array}{r@{\hskip10.0pt}c@{\hskip10.0pt}l}& & \displaystyle {G_{T,\alpha ,{t_{n-r;1-\alpha }}}}({S_{GMV}},s)=\mathbb{P}\left(T\gt {t_{n-r;1-\alpha }}\right)=\frac{n(n-r+1)}{(r-1)(n-1)}\\ {} & & \displaystyle \times {\int _{0}^{\infty }}\left(1-{F_{{t_{n-r,\delta (y)}}}}({t_{n-r;1-\alpha }})\right){f_{{\mathcal{F}_{r-1,n-r+1}},ns}}\left(\frac{n(n-r+1)}{(r-1)(n-1)}y\right)dy.\end{array}\]
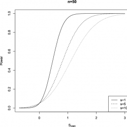
It is noted that the power function depends on $\boldsymbol{\mu }$ and Σ through the quantities ${S_{GMV}}$ and s. This fact simplifies considerably the study of the power of the test. In Figure 2, we present the power of the test as a function of ${S_{GMV}}$ with fixed $s\in \{1,5,10\}$. We also set $n\in \{50,250\}$, $r=0.5n$ and $\alpha =5\% $. We can observe that the power of the test increases as s decreases and that the suggested test rejects the null hypothesis for small values of ${S_{GMV}}$.
vmsta261_g002.jpg
Fig. 2.
Power of the test statistic T as a function of ${S_{GMV}}$ for $s\in \{1,5,10\},n\in \{50,250\},r=0.5n$ and $\alpha =5\% $
Since a statistical test and interval estimation are related, we can construct a one-sided $(1-\alpha )$ confidence interval for the risk-free rate ${r_{f}}$. Namely, if ${r_{f}}$ belongs to this interval, a conclusion about the investment into the TP can be made. For the upper one-sided test, this interval is expressed as
\[ {I_{1-\alpha }}=\left[{\widehat{R}_{GMV}}-{t_{n-r;1-\alpha }}\sqrt{\frac{n-1}{n-r}}\sqrt{1+\frac{n}{n-1}\widehat{s}}\sqrt{\frac{{\widehat{V}_{GMV}}}{n}},+\infty \right)\]
while for the lower one-sided test, we have that
\[ {\breve{I}_{1-\alpha }}=\left(-\infty ,{\widehat{R}_{GMV}}-{t_{n-r;\alpha }}\sqrt{\frac{n-1}{n-r}}\sqrt{1+\frac{n}{n-1}\widehat{s}}\sqrt{\frac{{\widehat{V}_{GMV}}}{n}}\right].\]
Therefore, it leads us to the conclusion that for all ${r_{f}}\notin {I_{1-\alpha }}$ the TP lies on the EF, while for ${r_{f}}\notin {\breve{I}_{1-\alpha }}$ the TP lies on the lower part of the set of feasible portfolios.

3 High-dimensional asymptotics

In this section, we derive the high-dimensional asymptotic distribution of test statistic given in (6) under both the null and alternative hypothesis. We treat the rank ${r_{n}}$ of the population covariance matrix Σ as the actual dimension of the data-generating process. Furthermore, we assume that ${r_{n}}/n\to c\in (0,1)$ as $n\to \infty $. Let us note that we don’t assume a relationship between the portfolio dimension k and the sample size n except for $k\gt n$. It means that k can grow to infinity much faster than n, then one can consider, for example, exponential growth which is of great importance in economics.
In the following theorem, we derive the high-dimensional asymptotic distribution of the test statistic T given in (6).
Theorem 3.
Let ${\mathbf{x}_{1}},\dots ,{\mathbf{x}_{n}}$ be i.i.d random vectors with ${\mathbf{x}_{1}}\sim {\mathcal{N}_{k}}\left(\boldsymbol{\mu },\boldsymbol{\Sigma }\right),k\gt n-1$ and $rank(\boldsymbol{\Sigma })={r_{n}}\lt n$. Let also ${c_{n}}:={r_{n}}/n\to c\in (0,1)$ as $n\to \infty $. Then
  • (a) the asymptotic distribution of T is given by
    \[ {\sigma _{T}^{-1}}\left(T-\sqrt{n}\frac{{S_{GMV}}}{\sqrt{1+\frac{{r_{n}}-1}{n-{r_{n}}+1}\left(1+\frac{n}{{r_{n}}-1}s\right)}}\right)\stackrel{\mathcal{D}}{\to }\mathcal{N}\left(0,1\right)\]
    where
    \[ {\sigma _{T}^{2}}=1+\frac{{S_{GMV}^{2}}}{2(1+s)}\left(1+\frac{{s^{2}}+2s+c}{{(1+s)^{2}}}\right).\]
  • (b) under the null hypothesis it holds that $T\sim \mathcal{N}\left(0,1\right)$.
Proof.
From the proof of Theorem 1, we have that
\[ T|\widehat{s}=y\sim {t_{n-{r_{n}},\delta (y)}}\]
with $\delta (y)=\sqrt{\frac{n}{1+n/(n-1)y}}{S_{GMV}}$. Additionally, it holds that $u=\frac{n(n-{r_{n}}+1)}{(n-1)({r_{n}}-1)}\widehat{s}\sim {\mathcal{F}_{{r_{n}}-1,n-{r_{n}}+1,ns}}$. Consequently, the stochastic representation of T is given by
\[ T\stackrel{d}{=}\sqrt{\frac{n-{r_{n}}}{\xi }}\left({z_{0}}+\frac{\sqrt{n}{S_{GMV}}}{\sqrt{1+\frac{{r_{n}}-1}{n-{r_{n}}+1}u}}\right)\]
where ${z_{0}}\sim \mathcal{N}(0,1)$, $\xi \sim {\chi _{n-{r_{n}}}^{2}}$ and $u\sim {\mathcal{F}_{{r_{n}}-1,n-{r_{n}}+1,ns}}$; moreover, ${z_{0}},\xi $ and u are mutually independent.
Now, it holds that
\[\begin{aligned}{}& T-\sqrt{n}\frac{{S_{GMV}}}{\sqrt{1+\frac{{r_{n}}-1}{n-{r_{n}}+1}\left(1+\frac{n}{{r_{n}}-1}s\right)}}\\ {} & =\sqrt{\frac{n-{r_{n}}}{\xi }}\left({z_{0}}+\frac{\sqrt{n}{S_{GMV}}}{\sqrt{1+\frac{{r_{n}}-1}{n-{r_{n}}+1}u}}\right)-\sqrt{n}\frac{{S_{GMV}}}{\sqrt{1+\frac{{r_{n}}-1}{n-{r_{n}}+1}\left(1+\frac{n}{{r_{n}}-1}s\right)}}\\ {} & =\sqrt{\frac{n-{r_{n}}}{\xi }}{z_{0}}+\frac{{S_{GMV}}}{\sqrt{1+\frac{{r_{n}}-1}{n-{r_{n}}+1}u}}\\ {} & \times \left[\sqrt{n}\left(\sqrt{\frac{n-{r_{n}}}{\xi }}-1\right)\hspace{2.5pt}+\sqrt{n}\left(1-\frac{\sqrt{1+\frac{{r_{n}}-1}{n-{r_{n}}+1}u}}{\sqrt{1+\frac{{r_{n}}-1}{n-{r_{n}}+1}\left(1+\frac{n}{{r_{n}}-1}s\right)}}\right)\right],\end{aligned}\]
where the last expression is obtained by adding and subtracting $\sqrt{n}\frac{{S_{GMV}}}{\sqrt{1+\frac{{r_{n}}-1}{n-{r_{n}}+1}u}}$, factoring out $\frac{{S_{GMV}}}{\sqrt{1+\frac{{r_{n}}-1}{n-{r_{n}}+1}u}}$, and rearranging. Let us note that
\[\begin{array}{r@{\hskip10.0pt}c@{\hskip10.0pt}l}& & \displaystyle 1-\frac{\sqrt{1+\frac{{r_{n}}-1}{n-{r_{n}}+1}u}}{\sqrt{1+\frac{{r_{n}}-1}{n-{r_{n}}+1}\left(1+\frac{n}{{r_{n}}-1}s\right)}}\\ {} & \displaystyle =& \displaystyle \frac{1}{\sqrt{1+\frac{{r_{n}}-1}{n-{r_{n}}+1}\left(1+\frac{n}{{r_{n}}-1}s\right)}}\frac{\frac{{r_{n}}-1}{n-{r_{n}}+1}\left(1+\frac{n}{{r_{n}}-1}s-u\right)}{\sqrt{1+\frac{{r_{n}}-1}{n-{r_{n}}+1}u}+\sqrt{1+\frac{{r_{n}}-1}{n-{r_{n}}+1}\left(1+\frac{n}{{r_{n}}-1}s\right)}}.\end{array}\]
From the proof of Theorem 5 in [8] and the proof of Theorem 4 in [6], we have that
\[\begin{array}{r@{\hskip10.0pt}c@{\hskip10.0pt}l}\displaystyle \frac{\xi }{n-{r_{n}}}-1& \displaystyle \stackrel{\mathrm{a}.\mathrm{s}.}{\to }& \displaystyle 0,\\ {} \displaystyle \sqrt{n}\left(\frac{\xi }{n-{r_{n}}}-1\right)& \displaystyle \stackrel{\mathcal{D}}{\to }& \displaystyle \mathcal{N}\left(0,\frac{2}{1-c}\right),\end{array}\]
and
\[\begin{array}{r@{\hskip10.0pt}c@{\hskip10.0pt}l}\displaystyle u-1-\frac{n}{{r_{n}}-1}s& \displaystyle \stackrel{\mathrm{a}.\mathrm{s}.}{\to }& \displaystyle 0,\\ {} \displaystyle \sqrt{n}\left(u-1-\frac{n}{{r_{n}}-1}s\right)& \displaystyle \stackrel{\mathcal{D}}{\to }& \displaystyle \mathcal{N}\left(0,{\sigma _{u}^{2}}\right)\end{array}\]
with ${\sigma _{u}^{2}}=\frac{2}{c}\left(1+2\frac{s}{c}\right)+\frac{2}{1-c}{\left(1+\frac{s}{c}\right)^{2}}$, for ${r_{n}}/n\to c\in (0,1)$ as $n\to \infty $. It is also well known that
\[\begin{array}{r@{\hskip10.0pt}c@{\hskip10.0pt}l}\displaystyle \sqrt{n}\left(\frac{{z_{0}}}{\sqrt{n}}\right)& \displaystyle \stackrel{\mathcal{D}}{\to }& \displaystyle \mathcal{N}\left(0,1\right).\end{array}\]
Finally, putting all the above together and applying Slutsky’s lemma (see, e.g., Theorem 2.8 in [43]), we arrive at the first part of the theorem. By setting ${S_{GMV}}=0$, we get the second part of the theorem under the null hypothesis. The theorem is proved.  □
Having the high-dimensional asymptotic distribution of test statistic in Theorem 3, the power function of that test can be obtained as
\[\begin{array}{r@{\hskip10.0pt}c@{\hskip10.0pt}l}\displaystyle {G_{T,\alpha ,{z_{1-\alpha }}}}({S_{GMV}},s)& \displaystyle =& \displaystyle 1-\Phi \left(\frac{{z_{1-\alpha }}-\sqrt{n}\frac{{S_{GMV}}}{\sqrt{1+\frac{{r_{n}}-1}{n-{r_{n}}+1}\left(1+\frac{n}{{r_{n}}-1}s\right)}}}{{\sigma _{T}}}\right),\end{array}\]
where ${z_{1-\alpha }}$ denotes the $(1-\alpha )$ quantile of the standard normal distribution and $\Phi (\cdot )$ stands for the distribution function of the standard normal distribution.

4 Simulation study

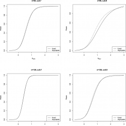
In this section, we compare the power functions of the exact test and the high-dimensional asymptotic test which are delivered in Theorems 1 and 3, respectively. Let us recall that both expressions depend on the slope parameter of the efficient frontier, s, and the Sharpe ratio of the GMVP, ${S_{GMV}}$. In what follows, we set s to be equal to 1, i.e. $s=1$. The significance level is taken to be $\alpha =5\% $. We consider several values for the sample size such as $n\in \{50,120\}$ which approximately corresponds to the length of one and two years of weekly financial data.
In Figure 3, we present the results of the simulation study for $c\in \{0.7,0.9\}$. The dashed black line represents the power function of the exact test, while the power function of the high-dimensional test is indicated by a solid black line. The power of the asymptotic test is almost indistinguishable from the exact one. It is remarkable that the high-dimensional asymptotic test is properly sized for all values of n and the differences between the two tests are observable only for the case of $n=50$ and $c=0.9$.
vmsta261_g003.jpg
Fig. 3.
Powers of the exact test and the high-dimensional asymptotic test as a function of ${S_{GMV}}$ based on statistic T for $n\in \{50,120\}$ and $c\in \{0.7,0.9\}$ with $s=1$ and $\alpha =5\% $

5 Empirical study

To better understand the results obtained in the previous sections, we apply the derived theoretical results to real data. The empirical study highlights the effect of the singularity of the covariance matrix and provides insight into the challenges posed by the high-dimensionality of financial data combined with distributional and dependence structure assumptions. This study also shows how the results can be used and how the presence of the singularity affects the inference of the TP efficiency.

5.1 Assumptions

The derivation of the theoretical results in this paper is based on the assumption of i.i.d. multivariate normal asset returns. However, in practice, day-to-day dependence cannot be ignored and the assumption of normality assumption is often violated [9, 29, 34, 36, 39]. One way to deal with this challenge is to construct investment strategies with a longer time horizon, which may require constructing portfolio weights using averages of the data over longer periods. For example, [8] argue that weekly or monthly averaging brings the data closer to normality due to the effect of the central limit theorem on the dependent data and reduces the temporal dependence between disjoint time windows. Furthermore, the time invariance of the distribution and the stability of the financial data are ensured by restricting the time horizon. Therefore, by employing these averages, the sample size n can often decrease to a point where it may be smaller than the number of stocks k in a high-dimensional portfolio. Since the dependence between stock prices is caused by the correlation within larger groups of stocks linked by structural, financial and economic factors, for a high-dimensional stock portfolio it is natural to assume that the mutual relationships between stocks are driven only by a number of linear relationships r that is effectively smaller, or even much smaller, than the dimension of the portfolio k and the sample size n.
In reality, the clean case of the singularity of the population covariance matrix Σ in the data will never be observed. To deal with this challenge, we follow the approach proposed in [33] which is also used in the portfolio context by [8]. In particular, we consider the data-generating process
\[ \mathbf{Y}=\mathbf{X}+\mathbf{E}\]
where X follows a singular model as in our paper, and E represents noise in the data, which can be due to measurement error, computational inaccuracies, etc.

5.2 Empirical results

We consider weekly averages of the daily log returns data from the S&P 500 of 368 stocks for the period from the 15th of April, 2014 to the 17th of April, 2024. In addition, we use the weekly return on the three-month US Treasury bill as the risk-free rate. The risk aversion coefficient α is taken to be 100.
In Figure 4, we show the behavior of the estimated rank of the covariance matrix Σ using a rolling window approach with an estimation window of 300 weeks, i.e. $n=300$. We can see that the estimated rank varies between 130 and 180, with the lowest estimated rank value in the middle of 2023 and the highest at the end of 2021. We also observe that all the estimated ranks are smaller than the settled sample size $n=300$. We conclude that there is a large amount of noise in the considered financial data which influences both the estimation of the covariance matrix and the determination of the structure of optimal portfolios.
vmsta261_g004.jpg
Fig. 4.
The rolling window estimation for the rank of the covariance matrix with the estimation window of 300 weeks
In Figure 5, we present the dynamic behavior of the p-values obtained from the exact and asymptotic tests on the hypotheses (5), precisely testing the hypothesis that the TP does not lie on the upper part of the efficient frontier, using a rolling window of 250 and 300 weeks, i.e. $n=\{250,300\}$ with a portfolio size $k=368$. First, we observe that the p-values obtained from both tests are indistinguishable indicating that the high-dimensional asymptotic test performs well. Second, we see that in most cases, especially for $n=300$, the obtained p-values are relatively large resulting in the conclusion that the null hypothesis (5) cannot be rejected, leading to the conclusion that the TP is not mean-variance efficient.
vmsta261_g005.jpg
Fig. 5.
p-values of the exact and the high-dimensional tests on the efficiency of tangency portfolio for $n\in \{250,300\}$

6 Conclusions

The role of the TP has become indispensable for both researchers and practitioners in finance. Hence, having complete comprehension of the TP properties under all possible scenarios is vital for any financial strategist. In this paper, we deal with the test on the mean-variance efficiency of the TP when both the population and sample covariance matrices are singular. Under these conditions, we deliver the finite sample test statistic and its distribution under both the null and alternative hypotheses. We also derive the high-dimensional asymptotic distribution of the considered test statistic under the null hypothesis as well as for the alternative hypothesis. Through the simulation study, we observe a good quality of the asymptotic approximation of the finite sample statistics, that is, the high-dimensional asymptotic test is properly sized for all values of n and the differences between the two tests are observable only for the case of $n=50$ and $c=0.9$. The empirical study also confirms the good quality of the asymptotic approximation of the finite sample statistics.

Acknowledgement

The authors are thankful to Prof. Yuliya Mishura and two anonymous reviewers for careful reading of the manuscript and for their suggestions which have improved an earlier version of this paper.

References

[1] 
Alfelt, G., Mazur, S.: On the mean and variance of the estimated tangency portfolio weights for small samples. Mod. Stoch. Theory Appl. 9(4), 453–482 (2022) MR4510383. https://doi.org/10.15559/22-vmsta212
[2] 
Bai, Z., Liu, H., Wong, W.-K.: Enhancement of the applicability of Markowitz’s portfolio optimization by utilizing random matrix theory. Math. Finance 19(4), 639–667 (2009) MR2583523. https://doi.org/10.1111/j.1467-9965.2009.00383.x
[3] 
Bauder, D., Bodnar, T., Mazur, S., Okhrin, Y.: Bayesian inference for the tangent portfolio. Int. J. Theor. Appl. Finance 21(08), 1850054 (2018) MR3897158. https://doi.org/10.1142/S0219024918500541
[4] 
Bodnar, T., Mazur, S., Podgórski, K.: A test for the global minimum variance portfolio for small sample and singular covariance. AStA Adv. Stat. Anal. 101(3), 253–265 (2017) MR3679345. https://doi.org/10.1007/s10182-016-0282-z
[5] 
Bodnar, T., Okhrin, Y.: On the product of inverse Wishart and normal distributions with applications to discriminant analysis and portfolio theory. Scand. J. Stat. 38(2), 311–331 (2011) MR2829602. https://doi.org/10.1111/j.1467-9469.2011.00729.x
[6] 
Bodnar, T., Mazur, S., Nguyen, H.: Estimation of optimal portfolio compositions for small sample and singular covariance matrix. Working paper 15, School of Business, Örebro University, Sweden (2022). https://www.oru.se/globalassets/oru-sv/institutioner/hh/workingpapers/workingpapers2022/wp-15-2022.pdf
[7] 
Bodnar, T., Mazur, S., Podgórski, K.: Singular inverse Wishart distribution and its application to portfolio theory. J. Multivar. Anal. 143, 314–326 (2016) MR3431434. https://doi.org/10.1016/j.jmva.2015.09.021
[8] 
Bodnar, T., Mazur, S., Podgórski, K., Tyrcha, J.: Tangency portfolio weights for singular covariance matrix in small and large dimensions: estimation and test theory. J. Stat. Plan. Inference 201, 40–57 (2019) MR3913439. https://doi.org/10.1016/j.jspi.2018.11.003
[9] 
Bollerslev, T.: Generalized autoregressive conditional heteroskedasticity. J. Econom. 31(3), 307–327 (1986) MR0853051. https://doi.org/10.1016/0304-4076(86)90063-1
[10] 
Britten-Jones, M.: The sampling error in estimates of mean-variance efficient portfolio weights. J. Finance 54(2), 655–671 (1999)
[11] 
Díaz-García, J.A., Gutiérrez-Jáimez, R., Mardia, K.V.: Wishart and pseudo-Wishart distributions and some applications to shape theory. J. Multivar. Anal. 63, 73–87 (1997) MR1491567. https://doi.org/10.1006/jmva.1997.1689
[12] 
Fama, E.F.: Foundations of finance: portfolio decisions and securities prices. (No Title) (1976)
[13] 
Fujikoshi, Y., Sakurai, T.: Consistency of test-based method for selection of variables in high-dimensional two-group discriminant analysis. Jpn. J. Stat. Data Sci. 2(1), 155–171 (2019) MR3969143. https://doi.org/10.1007/s42081-019-00032-4
[14] 
Gulliksson, M., Oleynik, A., Mazur, S.: Portfolio selection with a rank-deficient covariance matrix. Comput. Econ. (2023). doi:https://doi.org/10.1007/s10614-023-10404-4
[15] 
Ingersoll, J.E.: Theory of Financial Decision Making vol. 3. Rowman & Littlefield (1987)
[16] 
Javed, F., Mazur, S., Thorsén, E.: Tangency portfolio weights under a skew-normal model in small and large dimensions. J. Oper. Res. Soc. 75(7), 1395–1406 (2024). doi:https://doi.org/10.1080/01605682.2023.2249935
[17] 
Jobson, J.D., Korkie, B.: Estimation for Markowitz efficient portfolios. J. Am. Stat. Assoc. 75(371), 544–554 (1980) MR0590686
[18] 
Jorion, P.: Bayes-Stein estimation for portfolio analysis. J. Financ. Quant. Anal. 21(3), 279–292 (1986)
[19] 
Kan, R., Lassance, N.: Optimal portfolio choice with fat tails and parameter uncertainty (2024). https://ssrn.com/abstract=4652814
[20] 
Kan, R., Smith, D.R.: The distribution of the sample minimum-variance frontier. Manag. Sci. 54(7), 1364–1380 (2008)
[21] 
Kan, R., Zhou, G.: Optimal portfolio choice with parameter uncertainty. J. Financ. Quant. Anal. 42(3), 621–656 (2007)
[22] 
Kan, R., Wang, X., Zhou, G.: Optimal portfolio choice with estimation risk: no risk-free asset case. Manag. Sci. 68(3), 2047–2068 (2021)
[23] 
Karlsson, S., Mazur, S., Muhinyuza, S.: Statistical inference for the tangency portfolio in high dimension. Statistics 55(3), 532–560 (2021) MR4313438. https://doi.org/10.1080/02331888.2021.1951730
[24] 
Klein, R.W., Bawa, V.S.: The effect of estimation risk on optimal portfolio choice. J. Financ. Econ. 3(3), 215–231 (1976)
[25] 
Ledoit, O., Wolf, M.: Nonlinear shrinkage of the covariance matrix for portfolio selection: Markowitz meets Goldilocks. Rev. Financ. Stud. 30(12), 4349–4388 (2017)
[26] 
Lee, M., Kim, D.: On the use of the Moore–Penrose generalized inverse in the portfolio optimization problem. Finance Res. Lett. 22, 259–267 (2017)
[27] 
Li, H., Bai, Z., Wong, W.-K., McAleer, M.: Spectrally-corrected estimation for high-dimensional Markowitz mean-variance optimization. Econom. Stat. 24, 133–150 (2022) MR4487968. https://doi.org/10.1016/j.ecosta.2021.10.005
[28] 
Markowitz, H.: Portfolio selection. J. Finance 7(1), 77–91 (1952) MR0103768
[29] 
Markowitz, H.M.: Foundations of portfolio theory. J. Finance 46(2), 469–477 (1991)
[30] 
Merton, R.C.: An analytic derivation of the efficient portfolio frontier. J. Financ. Quant. Anal. 7(4), 1851–1872 (1972)
[31] 
Muhinyuza, S.: A test on mean-variance efficiency of the tangency portfolio in high-dimensional setting. Theory Probab. Math. Stat. 103, 103–119 (2020) MR4421345. https://doi.org/10.1090/tpms
[32] 
Muhinyuza, S., Bodnar, T., Lindholm, M.: A test on the location of the tangency portfolio on the set of feasible portfolios. Appl. Math. Comput. 386, 125519 (2020) MR4126729. https://doi.org/10.1016/j.amc.2020.125519
[33] 
Nadakuditi, R.R., Eldeman, A.: Sample eigenvalue based detection of high-dimensional signals in white noise using relatively few samples. IEEE Trans. Signal Process. 56, 2625–2638 (2008) MR1500236. https://doi.org/10.1109/TSP.2008.917356
[34] 
Nelson, D.B.: Conditional heteroskedasticity in asset returns: a new approach. Econometrica 59(2), 347–370 (1991) MR1097532. https://doi.org/10.2307/2938260
[35] 
Okhrin, Y., Schmid, W.: Distributional properties of portfolio weights. J. Econom. 134(1), 235–256 (2006) MR2328322. https://doi.org/10.1016/j.jeconom.2005.06.022
[36] 
Osborne, M.F.M.: Brownian motion in the stock market. Oper. Res. 7(2), 145–173 (1959) MR0104513. https://doi.org/10.1287/opre.7.2.145
[37] 
Palczewski, A., Palczewski, J.: Theoretical and empirical estimates of mean–variance portfolio sensitivity. Eur. J. Oper. Res. 234(2), 402–410 (2014) MR3144729. https://doi.org/10.1016/j.ejor.2013.04.018
[38] 
Pappas, D., Kiriakopoulos, K., Kaimakamis, G.: Optimal portfolio selection with singular covariance matrix. In: International Mathematical Forum, vol. 5, pp. 2305–2318 (2010) MR2727027
[39] 
Rachev, S.T., Mittnik, S.: Stable Paretian Models in Finance. Wiley, New York (2000)
[40] 
Rencher, A.C.: Methods of Multivariate Analysis. John Wiley & Sons, Inc. (2002) MR1885894. https://doi.org/10.1002/0471271357
[41] 
Srivastava, M.S.: Multivariate theory for analyzing high dimensional data. J. Japan Statist. Soc. 37(1), 53–86 (2007) MR2392485. https://doi.org/10.14490/jjss.37.53
[42] 
Tu, J., Zhou, G.: Data-generating process uncertainty: what difference does it make in portfolio decisions? J. Financ. Econ. 72(2), 385–421 (2004)
[43] 
Van der Vaart, A.W.: Asymptotic Statistics vol. 3. Cambridge university press (2000) MR1652247. https://doi.org/10.1017/CBO9780511802256
[44] 
Winkler, R.L.: Bayesian models for forecasting future security prices. J. Financ. Quant. Anal. 8(3), 387–405 (1973)
[45] 
Yonenaga, K., Suzukawa, A.: Distribution of the product of a Wishart matrix and a normal vector. Theory Probab. Math. Stat. 108, 209–224 (2023) MR4588246. https://doi.org/10.1090/tpms/1193
Reading mode PDF XML

Table of contents
  • 1 Introduction
  • 2 Exact test
  • 3 High-dimensional asymptotics
  • 4 Simulation study
  • 5 Empirical study
  • 6 Conclusions
  • Acknowledgement
  • References

Copyright
© 2025 The Author(s). Published by VTeX
by logo by logo
Open access article under the CC BY license.

Keywords
Tangency portfolio Hypothesis testing Singular Wishart distribution Singular covariance matrix Moore–Penrose inverse High-dimensional asymptotics

MSC2010
62P05 62P99 91B06 91G10 62F03 62F05

Funding
Svitlana Drin acknowledges financial support from the Knowledge Foundation Grant “Forecasting for Supply Chain Management” (Dnr: 20220115). Stepan Mazur acknowledges financial support from the project “Improved Economic Policy and Forecasting with High-Frequency Data” (Dnr: E47/22) funded by the Torsten Söderbergs Foundation and the internal research grants at Örebro University.

Metrics
since March 2018
948

Article info
views

708

Full article
views

489

PDF
downloads

192

XML
downloads

Export citation

Copy and paste formatted citation
Placeholder

Download citation in file


Share


RSS

  • Figures
    5
  • Theorems
    3
vmsta261_g001.jpg
Fig. 1.
Location of the tangency portfolio on the set of feasible portfolios in the two cases: (a) ${R_{GMV}}\ge {r_{f}}$ and (b) ${R_{GMV}}\lt {r_{f}}$
vmsta261_g002.jpg
Fig. 2.
Power of the test statistic T as a function of ${S_{GMV}}$ for $s\in \{1,5,10\},n\in \{50,250\},r=0.5n$ and $\alpha =5\% $
vmsta261_g003.jpg
Fig. 3.
Powers of the exact test and the high-dimensional asymptotic test as a function of ${S_{GMV}}$ based on statistic T for $n\in \{50,120\}$ and $c\in \{0.7,0.9\}$ with $s=1$ and $\alpha =5\% $
vmsta261_g004.jpg
Fig. 4.
The rolling window estimation for the rank of the covariance matrix with the estimation window of 300 weeks
vmsta261_g005.jpg
Fig. 5.
p-values of the exact and the high-dimensional tests on the efficiency of tangency portfolio for $n\in \{250,300\}$
Theorem 1.
Theorem 2.
Theorem 3.
vmsta261_g001.jpg
Fig. 1.
Location of the tangency portfolio on the set of feasible portfolios in the two cases: (a) ${R_{GMV}}\ge {r_{f}}$ and (b) ${R_{GMV}}\lt {r_{f}}$
vmsta261_g002.jpg
Fig. 2.
Power of the test statistic T as a function of ${S_{GMV}}$ for $s\in \{1,5,10\},n\in \{50,250\},r=0.5n$ and $\alpha =5\% $
vmsta261_g003.jpg
Fig. 3.
Powers of the exact test and the high-dimensional asymptotic test as a function of ${S_{GMV}}$ based on statistic T for $n\in \{50,120\}$ and $c\in \{0.7,0.9\}$ with $s=1$ and $\alpha =5\% $
vmsta261_g004.jpg
Fig. 4.
The rolling window estimation for the rank of the covariance matrix with the estimation window of 300 weeks
vmsta261_g005.jpg
Fig. 5.
p-values of the exact and the high-dimensional tests on the efficiency of tangency portfolio for $n\in \{250,300\}$
Theorem 1.
Let ${\mathbf{x}_{1}},\dots ,{\mathbf{x}_{n}}$ be i.i.d random vectors with ${\mathbf{x}_{1}}\sim {\mathcal{N}_{k}}(\boldsymbol{\mu },\boldsymbol{\Sigma }),k\gt n-1$ and $rank(\boldsymbol{\Sigma })=r\lt n$. Then the density of T is given by
(8)
\[ {f_{T}}(x)=\frac{n(n-r+1)}{(r-1)(n-1)}{\int _{0}^{\infty }}{f_{{t_{n-r,\delta (y)}}}}(x){f_{{\mathcal{F}_{r-1,n-r+1}},ns}}\left(\frac{n(n-r+1)}{(r-1)(n-1)}y\right)dy\]
where $\delta (y)=\sqrt{\frac{n}{1+n/(n-1)y}}{S_{GMV}}$ with ${S_{GMV}}=\frac{{R_{GMV}}-{r_{f}}}{\sqrt{{V_{GMV}}}}$ which is the Sharpe ratio of the GMVP.
Theorem 2.
Under the conditions of Theorem 1, it holds that
\[ \underset{{V_{GMV}}\gt 0,s\ge 0,{R_{GMV}}\le {r_{f}}}{\sup }{G_{T,\alpha ,{t_{n-r;1-\alpha }}}}\left({S_{GMV}},s\right)\le {\mathbb{P}_{{H_{0}}:{R_{GMV}}={r_{f}}}}\left(T\gt {t_{n-r;1-\alpha }}\right)=\alpha ,\]
where
\[ {G_{T,\alpha ,c}}\left({S_{GMV}},s\right)=\mathbb{P}\left(T\gt c\right)={\int _{c}^{\infty }}{f_{T}}(x)dx\]
and the symbol ${t_{n-r;1-\alpha }}$ stands for the $(1-\alpha )$ quantile of the t-distribution with $n-r$ degrees of freedom.
Theorem 3.
Let ${\mathbf{x}_{1}},\dots ,{\mathbf{x}_{n}}$ be i.i.d random vectors with ${\mathbf{x}_{1}}\sim {\mathcal{N}_{k}}\left(\boldsymbol{\mu },\boldsymbol{\Sigma }\right),k\gt n-1$ and $rank(\boldsymbol{\Sigma })={r_{n}}\lt n$. Let also ${c_{n}}:={r_{n}}/n\to c\in (0,1)$ as $n\to \infty $. Then
  • (a) the asymptotic distribution of T is given by
    \[ {\sigma _{T}^{-1}}\left(T-\sqrt{n}\frac{{S_{GMV}}}{\sqrt{1+\frac{{r_{n}}-1}{n-{r_{n}}+1}\left(1+\frac{n}{{r_{n}}-1}s\right)}}\right)\stackrel{\mathcal{D}}{\to }\mathcal{N}\left(0,1\right)\]
    where
    \[ {\sigma _{T}^{2}}=1+\frac{{S_{GMV}^{2}}}{2(1+s)}\left(1+\frac{{s^{2}}+2s+c}{{(1+s)^{2}}}\right).\]
  • (b) under the null hypothesis it holds that $T\sim \mathcal{N}\left(0,1\right)$.

MSTA

Journal

  • Online ISSN: 2351-6054
  • Print ISSN: 2351-6046
  • Copyright © 2018 VTeX

About

  • About journal
  • Indexed in
  • Editors-in-Chief

For contributors

  • Submit
  • OA Policy
  • Become a Peer-reviewer

Contact us

  • ejournals-vmsta@vtex.lt
  • Mokslininkų 2A
  • LT-08412 Vilnius
  • Lithuania
Powered by PubliMill  •  Privacy policy